




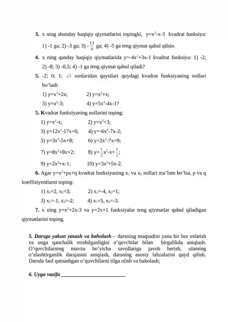
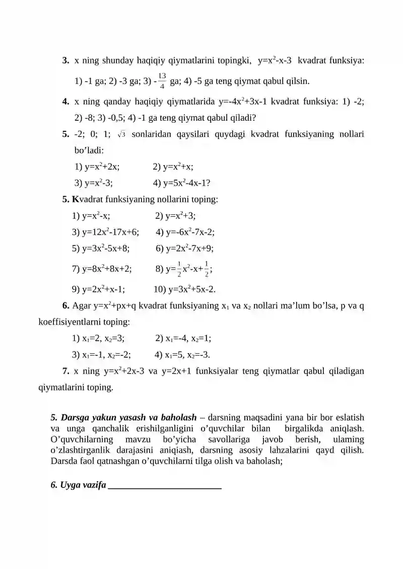
19
Premium Content
9-sinf algebra konspekt 1-chorak
8,000so'm
Betlar soni
28 taFayl hajmi
541.5 KBFayl turi
.docMahsulot tavsifi
O’quvchilarga mustaqillik haqida tushunchalar berish va o’tilgan mavzularni takrorlash.
Teglar
#algebra#takrorlash#vatanparvarlik#9-sinf algebra konspekt 1-chorak
Premium Content
9-sinf algebra konspekt 1-chorak
8,000so'm
Betlar soni
28 taFayl hajmi
541.5 KBFayl turi
.doc✓
Muallif
B. Hamidov
Tasdiqlangan sotuvchi
Jami mahsulotlar1689 ta
Sotilgan89 ta