




20
Premium Content
Ko'rsatkichli va logarifmik tengsizliklar
8,900so'm
Betlar soni
11 taFayl hajmi
2.28 MBFayl turi
.pptxMahsulot tavsifi
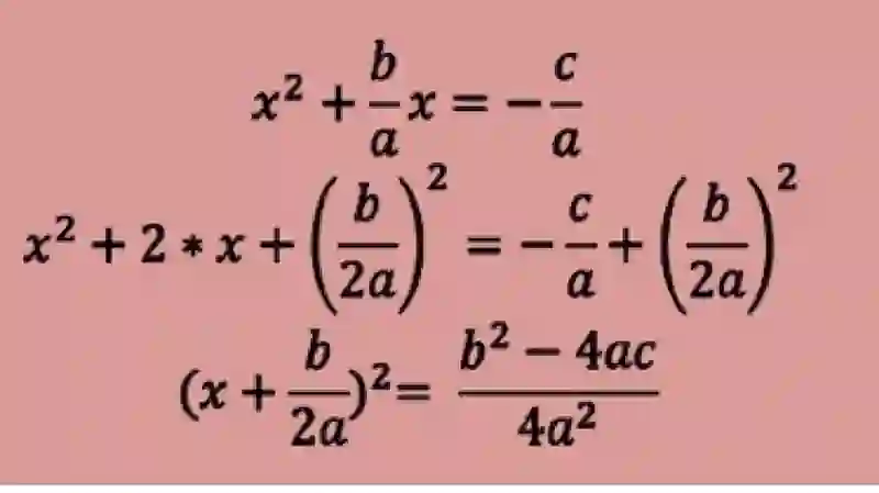
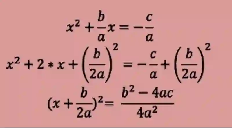
Ko'rsatkichli va logarifmik tenglama va tengsizliklar haqida nazariy ma'lumot.
Teglar
#daraja#logarifmik#funkciya#xossalarga ega#ko'rsatkichli tenglama
Premium Content
Ko'rsatkichli va logarifmik tengsizliklar
8,900so'm
Betlar soni
11 taFayl hajmi
2.28 MBFayl turi
.pptx
✓
Muallif
Azizbek Toʻlqinov
Tasdiqlangan sotuvchi
Jami mahsulotlar553 ta
Sotilgan19 ta