




10
Premium Content
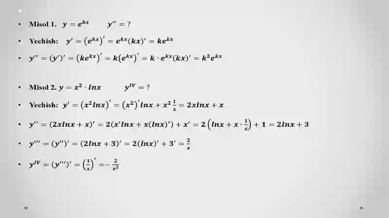
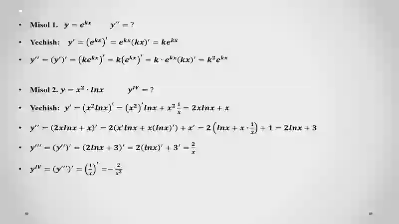
Yuqori tartibli xosila va differensial. Aniqmasliklarni lopital usuli
3,400so'm
Betlar soni
11 taFayl hajmi
1.12 MBFayl turi
.pptxMahsulot tavsifi
Fuksiyalar va ularning differensiallari, Lopital qoidasi va qiymatlar ustida misollar.
Teglar
#qiymatlar#lopital qoidasi#differensiallik shartlar
Premium Content
Yuqori tartibli xosila va differensial. Aniqmasliklarni lopital usuli
3,400so'm
Betlar soni
11 taFayl hajmi
1.12 MBFayl turi
.pptx
✓
Muallif
Alpha 🔰
Tasdiqlangan sotuvchi
Jami mahsulotlar7921 ta
Sotilgan4069 ta